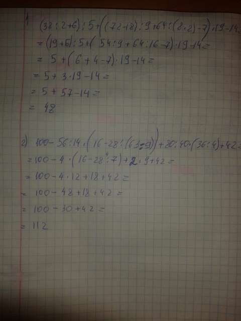
Выполни действия: 1) (38:2+6):5+[(72-18):9+64:(8*2)-7]*19-14. 2) 100-56:14*[16-28:(63:9)]+80:40*(36:4)+42.
Ответы
Ответ дал:
0
Смотрите решение подробное но фото
Приложения:

Вас заинтересует
2 года назад
2 года назад
7 лет назад
7 лет назад
9 лет назад
10 лет назад
10 лет назад