Ответы
Ответ дал:
0
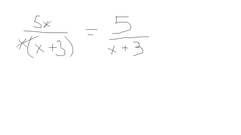
Вот фотография, где перечеркнуто - это значит что сокращено
Приложения:

Вас заинтересует
2 года назад
2 года назад
9 лет назад
9 лет назад
10 лет назад