• Предмет: Математика
  • Автор: mrgik
  • Вопрос задан 9 лет назад

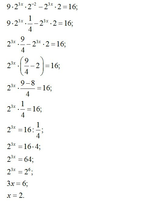
найти x
<span>9*</span>2 ^{3x-2}-2^{3x+1}=16

Ответы

Ответ дал: IraPo
0
Решение ниже в файле.
Ответ: х = 2.
Приложения:
Вас заинтересует