Ответы
Ответ дал:
0
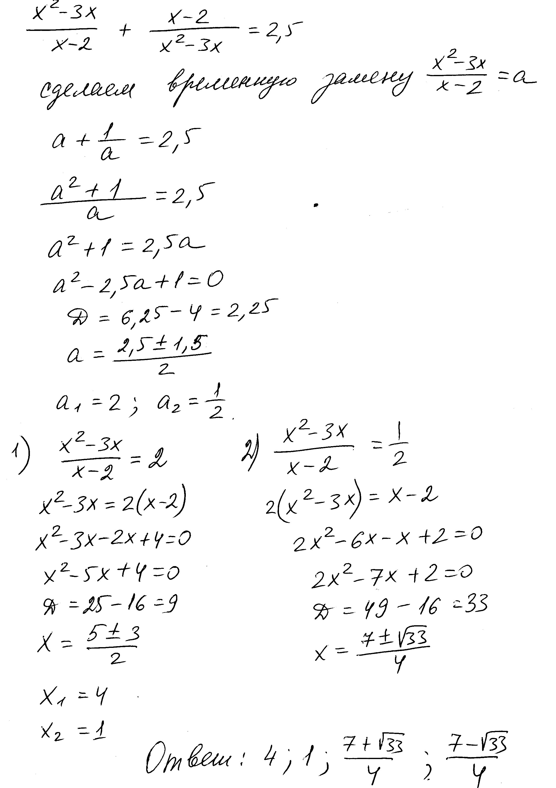
решение во вложенном файле (для порядка в начале решения стоит сказать о ОДЗ: х не равно 2; х не равно 0; х не равно 3)
Приложения:

Вас заинтересует
2 года назад
2 года назад
7 лет назад
9 лет назад