• Предмет: Математика
  • Автор: valstram
  • Вопрос задан 9 лет назад

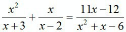
Помогите,пожалуйста.

Приложения:

Ответы

Ответ дал: 20Zenya03
0
Ищи ответ в Готовых-Домашних-Заданиях ))) Я там ответы ищу))))Понятно?
Вас заинтересует