Алгебра, помогите пожалуйста
(нужно полное решение, а не только выбрать ответ)
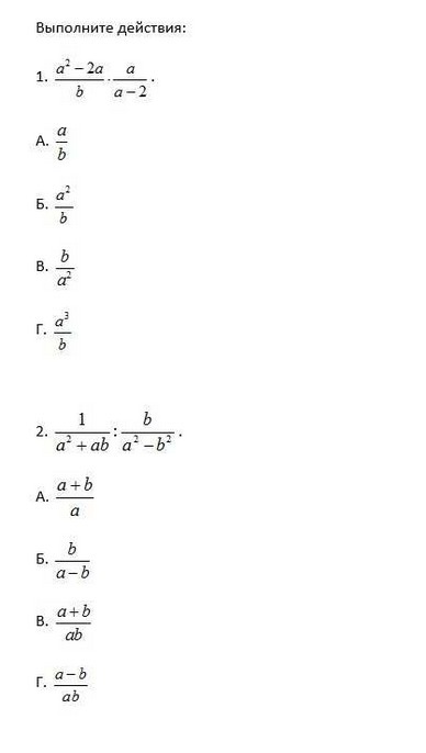
Задание на картинке
Приложения:

Ответы
Ответ дал:
0
Ответ дал:
0
Огромное спасибо!)
Ответ дал:
0
а²-2а a a(a-2) a a²
--------- * ------- = --------- * -------- = --------
b a-2 b a-2 b
1 b 1 (a-b)(a+b) a-b
----------- : --------- = --------- * --------------- = ----------
a²+ab a²-b² a(a+b) b ab
--------- * ------- = --------- * -------- = --------
b a-2 b a-2 b
1 b 1 (a-b)(a+b) a-b
----------- : --------- = --------- * --------------- = ----------
a²+ab a²-b² a(a+b) b ab
Вас заинтересует
2 года назад
7 лет назад
7 лет назад
9 лет назад
9 лет назад
10 лет назад
10 лет назад