• Предмет: Математика
  • Автор: ruslan42220
  • Вопрос задан 9 лет назад

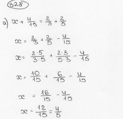
математика √328 стр.53

Приложения:

Ответы

Ответ дал: СЕРГЕЙГРОМОВ
0
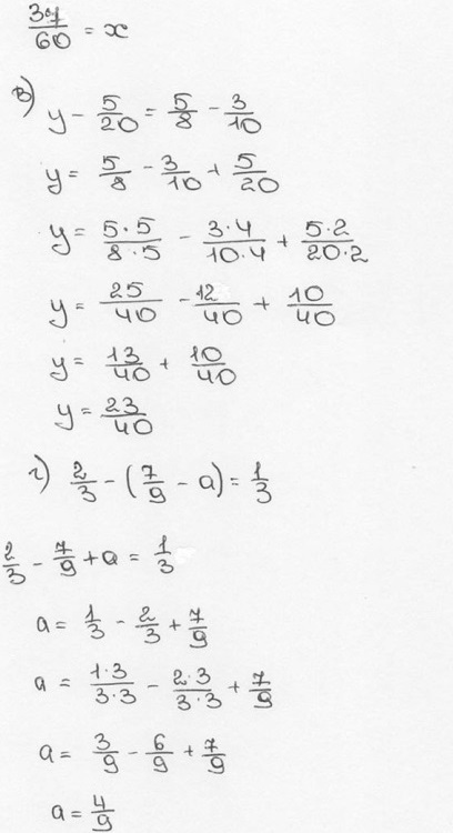
Вот посмотри на картинках, если я правильно понял это те задания
Приложения:
Ответ дал: zinchenkodanya
0
Введи ответы по математике megaresheba и там выбираешь свой класс и учебник
Приложения:
Вас заинтересует