Ответы
Ответ дал:
0
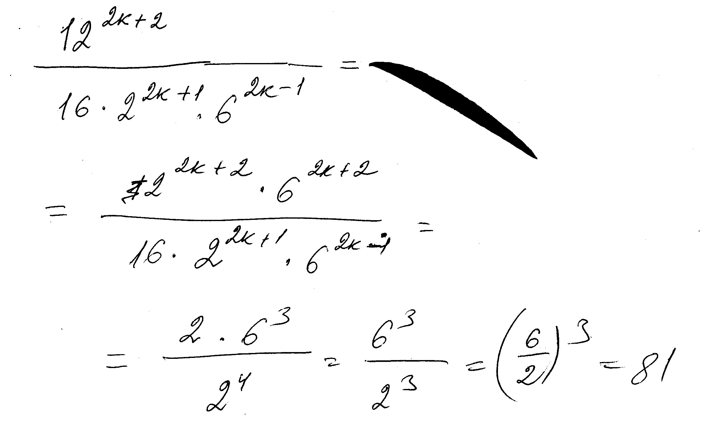
ответ в файле вложен
Приложения:

Вас заинтересует
2 года назад
2 года назад
7 лет назад
10 лет назад