• Предмет: Алгебра
  • Автор: nagazina
  • Вопрос задан 9 лет назад

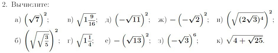
ПОМОГИТЕ, срочно надо решить. СПАСИБО

Приложения:

Ответы

Ответ дал: карамелька9550
0
)))))))) я не уверена с бвг
Приложения:
Ответ дал: nagazina
0
всё совпало кроме г) у меня получилось корень из 5 деленные на 2, т.к. 4 это 2 в квадрате. Как думаешь правильно или всё же как у тебя правильно
Ответ дал: nagazina
0
cgfcb,j
Вас заинтересует