Ответы
Ответ дал:
0
1
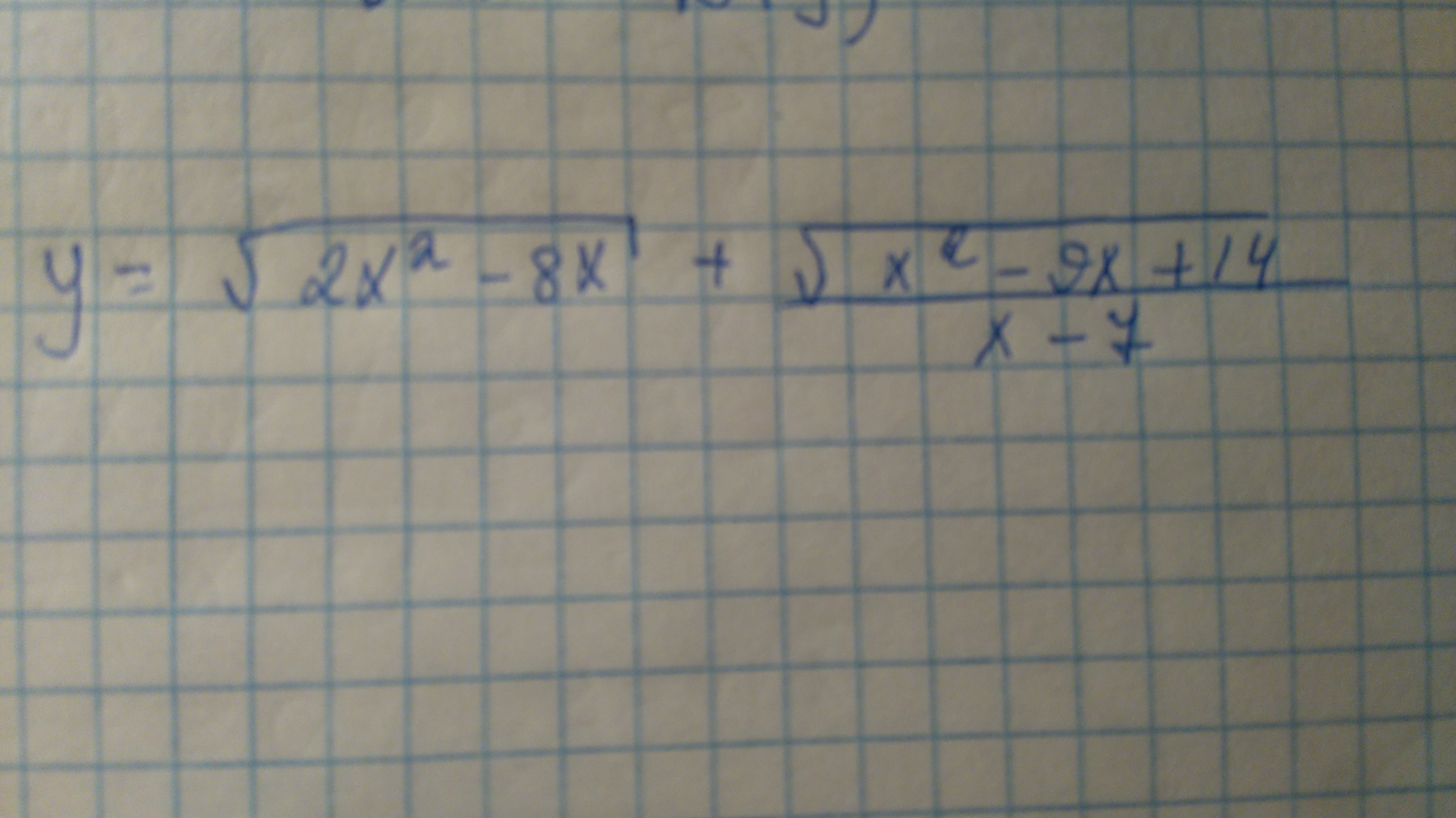
{2x²-8x≥0⇒2x(x-4)≥0⇒x≤0 U x≥4
{x²-9x+14≥0⇒(x-2)(x-7)≥0⇒x≤2 U x≥7
{x-7≠0⇒x≠7
x∈(-∞;0] U (7;∞)
2
{2x²-8x≥0⇒2x(x-4)≥0⇒x≤0 U x≥4
{x²-6x+5≠0⇒(x-1)(x-5)≠0⇒x≠1 U x≠5
x∈(-∞;0] U [;5) U (5;∞)
{2x²-8x≥0⇒2x(x-4)≥0⇒x≤0 U x≥4
{x²-9x+14≥0⇒(x-2)(x-7)≥0⇒x≤2 U x≥7
{x-7≠0⇒x≠7
x∈(-∞;0] U (7;∞)
2
{2x²-8x≥0⇒2x(x-4)≥0⇒x≤0 U x≥4
{x²-6x+5≠0⇒(x-1)(x-5)≠0⇒x≠1 U x≠5
x∈(-∞;0] U [;5) U (5;∞)
Вас заинтересует
2 года назад
2 года назад
7 лет назад
10 лет назад
10 лет назад