• Предмет: Математика
  • Автор: Djdjsj
  • Вопрос задан 9 лет назад

Решите уравнение прошу срочно

Приложения:

Ответы

Ответ дал: KseniaHarlequin
0
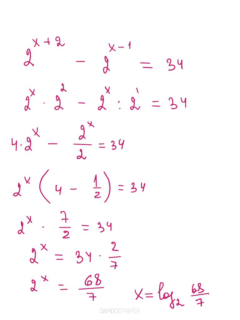
Решение данного задания. Довольно странный ответ. Но я прорешала три раза, а получилось то же самое
Приложения:
Вас заинтересует