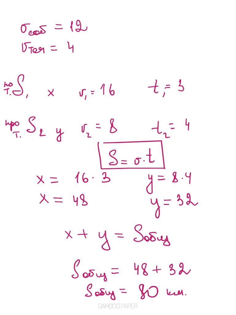
Катер имеющий собственную скорость 12 км/ч, проплыл 3 ч. по течению реки и 4 ч. против течения реки. Какое расстояние проплыл катер за все время, если скорость течения реки 4 км/ч?
Ответы
Ответ дал:
0
1) 3( 12 + 4 ) = 48 ( км ) по течению
2) 4( 12 - 4 ) = 32 ( км ) против течения
3) 48 + 32 = 80 ( км ) всего
Ответ 80 км
2) 4( 12 - 4 ) = 32 ( км ) против течения
3) 48 + 32 = 80 ( км ) всего
Ответ 80 км
Ответ дал:
0
Решение данной задачи
Приложения:
Вас заинтересует
2 года назад
2 года назад
7 лет назад
10 лет назад
10 лет назад
10 лет назад