ОЧЕНЬ СРОЧНО!!!!!!ПИШИТЕ ПОДРОБНОЕ ПРАВИЛЬНОЕ РЕШЕНИЕ!!!!!!!!!!ОТДАЮ ВСЕ СВОИ 44 БАЛЛА!!!!!!!!!!!!!!
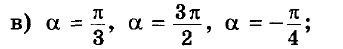
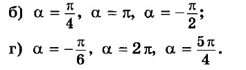
Приложения:
                     
                             
                             
                            Ответы
                                            Ответ дал: 
                                                                                    
                                        
                                            
                                                
                                                
                                                
                                                    0
                                                
                                            
                                        
                                    
                                        Решение во вложении)))
                                    
                                                Приложения:
                     
                             
                            
                                            Ответ дал: 
                                                                                    
                                        
                                            
                                                
                                                
                                                
                                                    0
                                                
                                            
                                        
                                    
                                        Специально добавил еще фотографию - смотри.
                                    
                                        
                                        
                                Вас заинтересует
                
                        2 года назад
                    
                
                        2 года назад
                    
                
                        7 лет назад
                    
                
                        7 лет назад
                    
                
                        9 лет назад
                    
                
                        9 лет назад
                    
                
                        10 лет назад
                    
                
                        10 лет назад