• Предмет: Математика
  • Автор: Лора19
  • Вопрос задан 3 года назад

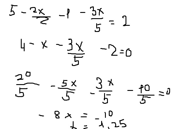
5-2х/2-1-3х/5=2 решите пожалуйста!!!!

Ответы

Ответ дал: solnceYa
1

перепроверь с начлаа а то не понятно в начале примера такая дробь или нет 

если нет напиши в лс я решу по другому :)

 

 

 

Приложения:
Ответ дал: Аноним
3

<var>5-\frac{2x}{2}-1-\frac{3x}{5}=2</var>

<var>-x-\frac{3x}{5}=2-5+1</var>

<var>-\frac{5x}{5}-\frac{3x}{5}=-2</var>

<var>-\frac{8x}{5}=-2</var>

<var>-8x=-10</var>

<var>x=10:8</var>

<var>x=1,25</var>

Вас заинтересует