• Предмет: Математика
  • Автор: fiproQwerty
  • Вопрос задан 9 лет назад

Помогите пожалуйста, буду благодарен

Приложения:

Ответы

Ответ дал: Dимасuk
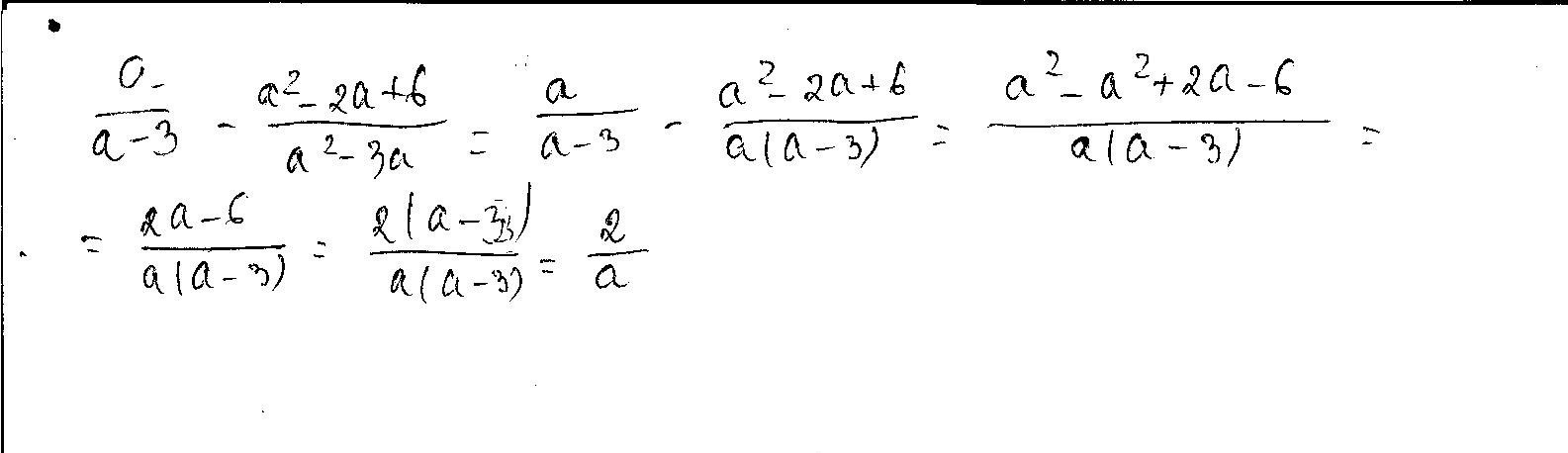
0
:))))))))))))))))))))
Приложения:
Вас заинтересует