• Предмет: Алгебра
  • Автор: kwethepeople
  • Вопрос задан 9 лет назад

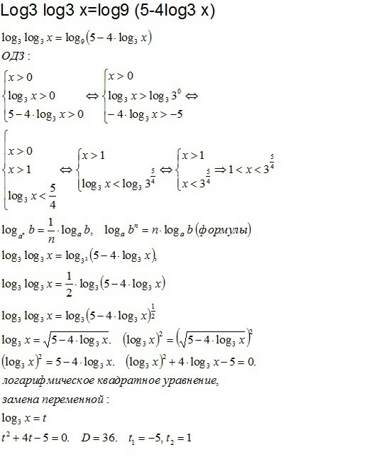
log3 log3 x=log9 (5-4log3 x)

Ответы

Ответ дал: kirichekov
0
решение во вложении----------------
Приложения:
Ответ дал: kirichekov
0
где Вы их растеряли?
Ответ дал: skvrttt
0
log_3(log_3x)=log_9(5-4log_3x)

ОДЗ: 
 left[begin{array}{ccc}log_3x textgreater  0\5-4log_3x textgreater  0\x textgreater  0end{array}rightleft[begin{array}{ccc}log_3x textgreater  log_33^0\5 textgreater  4log_3x\x textgreater  0end{array}rightleft[begin{array}{ccc}x textgreater  3^0\frac{5}{4} textgreater  log_3x\x textgreater  0end{array}right\\\left[begin{array}{ccc}x textgreater  1\log_33^frac{5}{4} textgreater  log_3xend{array}rightleft[begin{array}{ccc}x textgreater  1\3^{frac{5}{4}} textgreater  xend{array}right lODZ:1 textless  x textless  3^{frac{5}{4}}

по свойствам логарифмов
log_3(log_3x)=log_9(5-4log_3x)\log_3(log_3x)=log_{3^2}(5-4log_3x)=log_3sqrt{5-4log_3x}\log_3x=sqrt{5-4log_3x}

возведём в квадрат обе части уравнения, чтобы избавиться от иррациональности
(log_3x)^2=5-4log_3x

обозначим log_3x переменной a, тогда 
a^2=5-4ato a^2+4a-5=0\D=16+20=36=6^2\a_1=frac{-4+6}{2}=1\a_2=frac{-4-6}{2}=-5

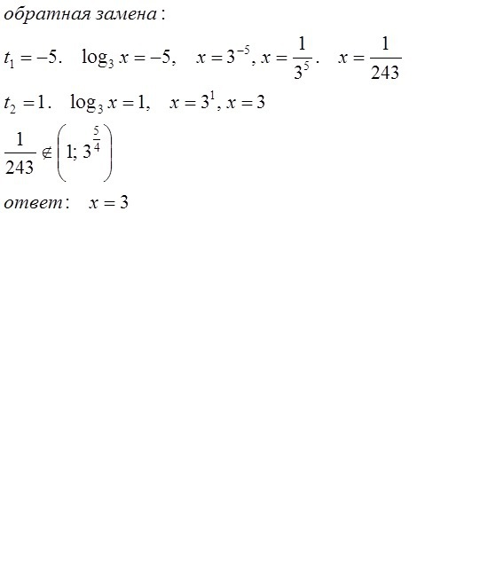
из вышеприведённой замены: 
left[begin{array}{ccc}log_3x=1\log_3x=-5end{array}rightleft[begin{array}{ccc}x=3^1\x=3^{-5}end{array}right

3^{-5} меньше единицы, а потому является исключением ОДЗ, определённого ранее; ответ: x=3
Приложения:
Вас заинтересует