7. Антошка долго думал над заданием и попросил у вас помощи. Определите правило, по которому составлен данный ряд чисел, и, продолжив его, запишите сумму второго и седьмого (последнего) чисел этого ряда. 3, 5, 9, 15, 23, ____ , ____ .
Ответы
Ответ дал:
0
................................
Приложения:
Ответ дал:
0
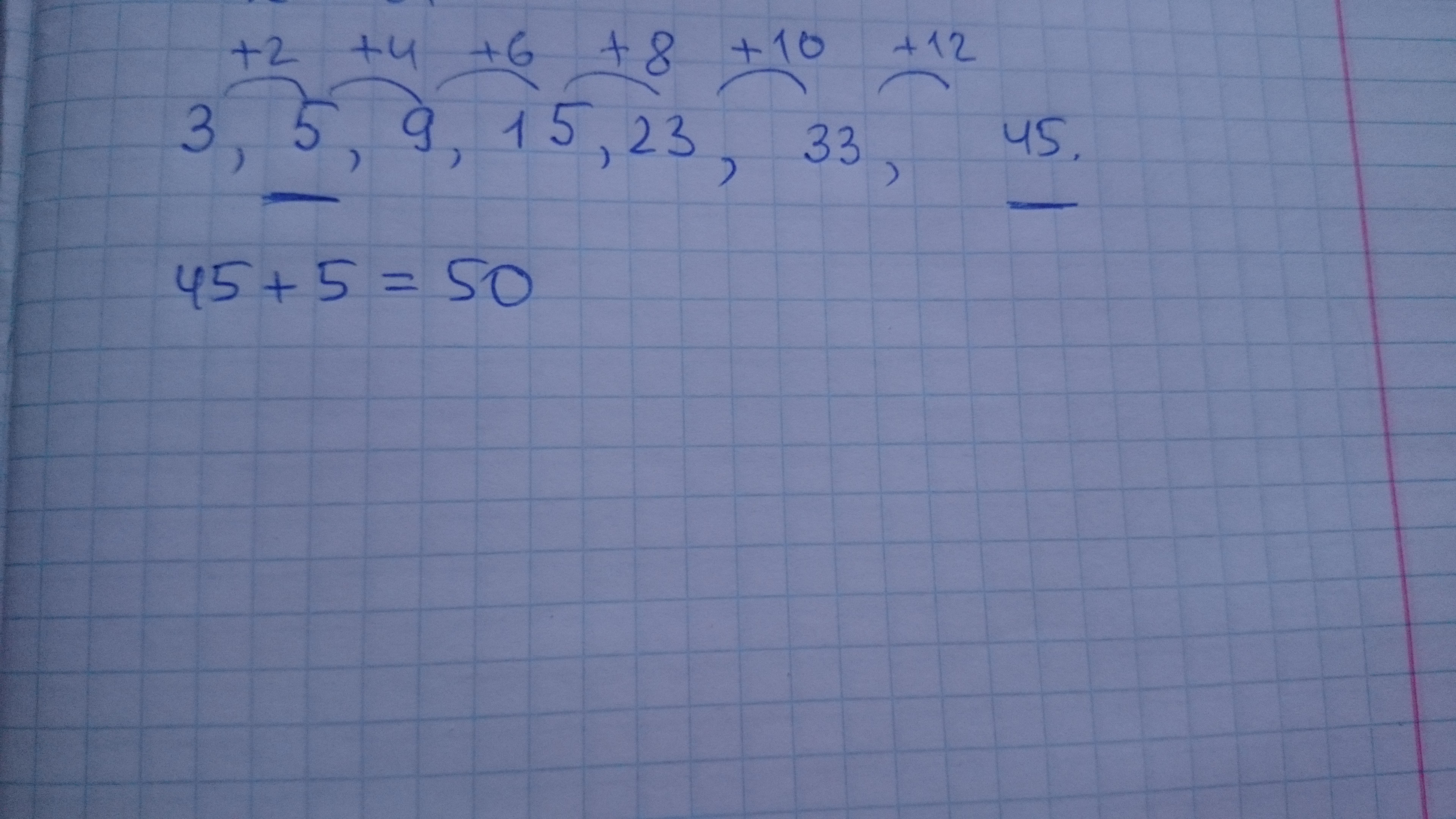
Каждое последующее число этого ряда - предыдущее число плюс количество двоек, прибавляющееся в каждом последующем сложении:
3+2 = 5
5+2+2=9
9+2+2+2=15
15+2+2+2+2=23
23+2+2+2+2+2=33 шестое число
33+2+2+2+2+2+2=45 седьмое число
45+5=50 - cумма второго и седьмого чисел ряда
3+2 = 5
5+2+2=9
9+2+2+2=15
15+2+2+2+2=23
23+2+2+2+2+2=33 шестое число
33+2+2+2+2+2+2=45 седьмое число
45+5=50 - cумма второго и седьмого чисел ряда
Приложения:
Вас заинтересует
2 года назад
7 лет назад
7 лет назад
10 лет назад
10 лет назад
10 лет назад