• Предмет: Алгебра
  • Автор: Tsubulaeva
  • Вопрос задан 9 лет назад

Lim x-8/3-x+10x²
X->бесконечности

Ответы

Ответ дал: Ymnik221
0
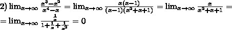
Смотри я тебе помогу все далжно быть вот так
Приложения:
Вас заинтересует