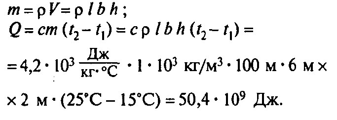
какое количество теплоты получила вода при нагревании от 15 да 25 °С в бассейне длина которого 100 и ширина 6 м глубина 2 м
Ответы
Ответ дал:
0
1 картинка дано, 2 картинка решение
Приложения:
Вас заинтересует
2 года назад
2 года назад
7 лет назад
10 лет назад
10 лет назад
10 лет назад
10 лет назад