• Предмет: Математика
  • Автор: tiklon
  • Вопрос задан 9 лет назад

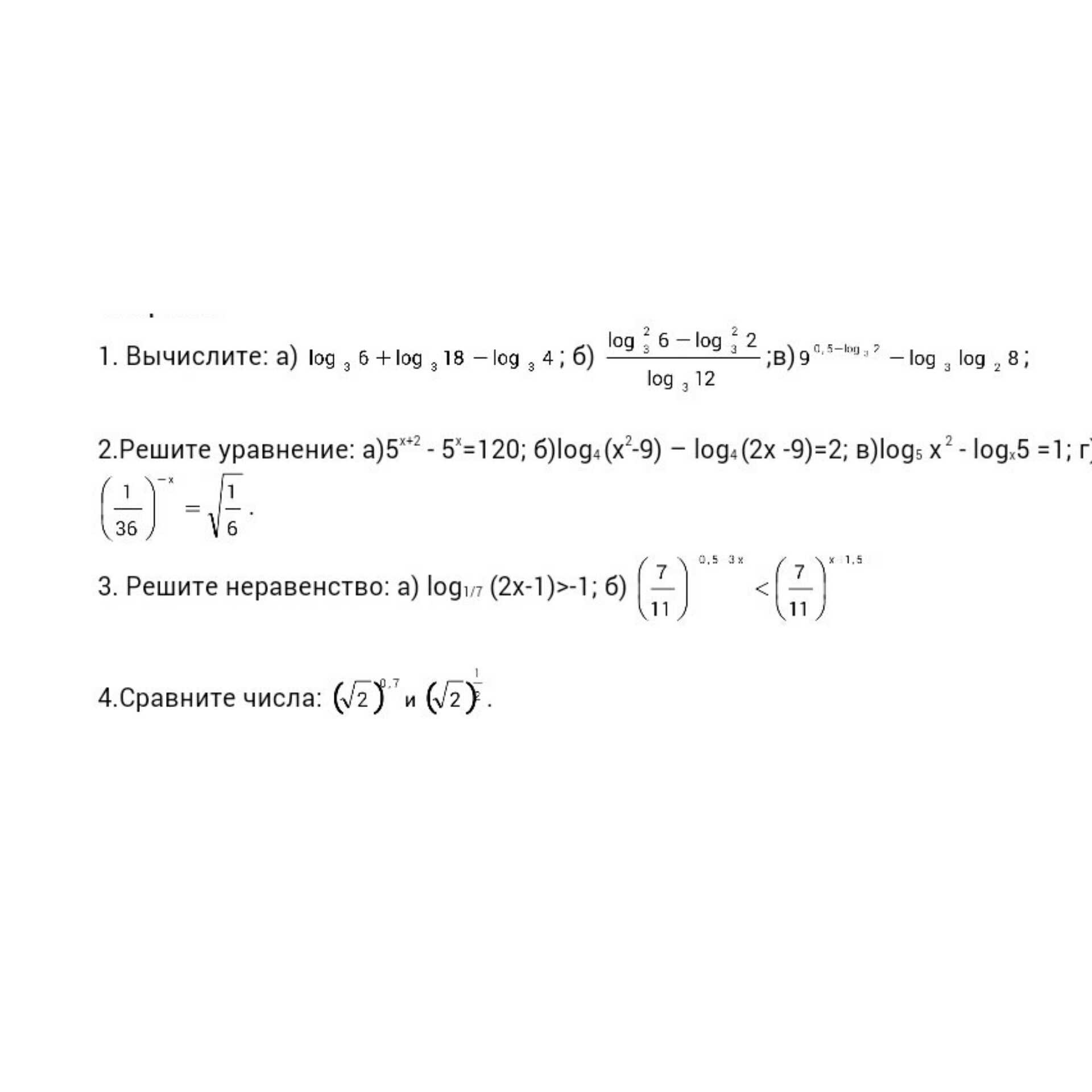
Помогите пожалуйста
1) вычислите а) log 3 6 + log 3 18 - log 3 4

Приложения:

Ответы

Ответ дал: noname2812
0
log 3 6 + log 3 18 - log 3 4= log3(6*18/4)= log 3(3*18/2)=log 3(3*9)=log 3 27=3
Ответ дал: tiklon
0
Спасибо,Мне все нужно решить(
Вас заинтересует