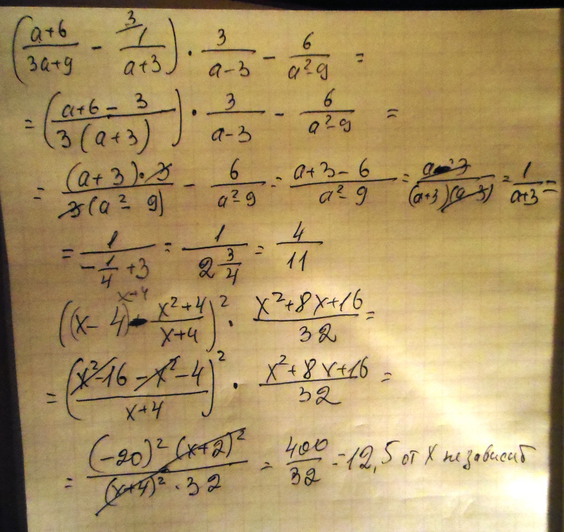
Докажите,что при всех допустимых значениях переменной значение выражения не зависит от значения переменной (х-4- х2+4/х+4)2×х2+8х+16/32
Ответы
Ответ дал:
0
там впереди еще пример, но он тебе не нужен. Твой второй
Приложения:

Вас заинтересует
2 года назад
2 года назад
7 лет назад
7 лет назад
9 лет назад