• Предмет: Математика
  • Автор: Вика08971
  • Вопрос задан 9 лет назад

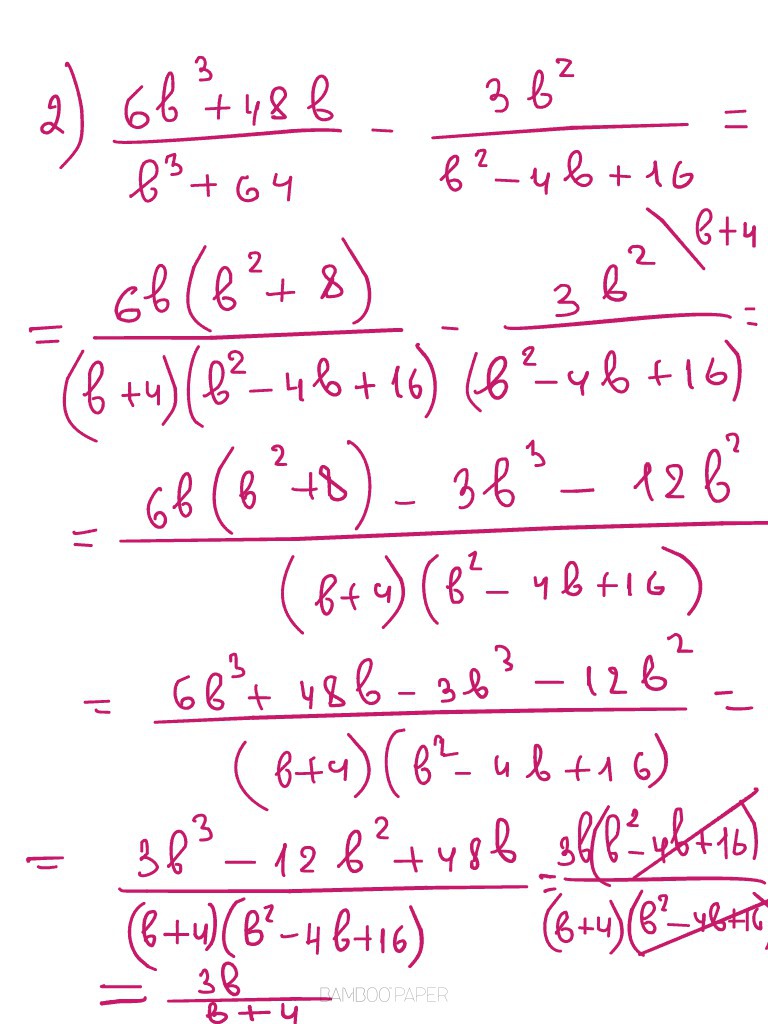
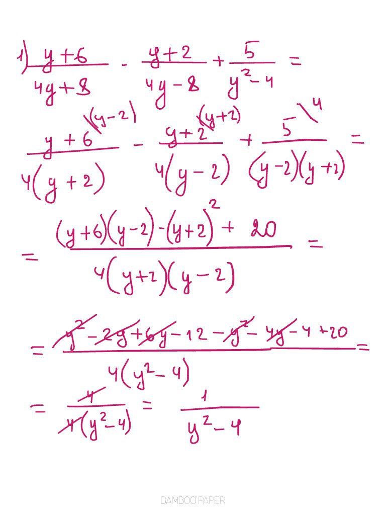
4 номер(1,2)
Помогите пожалуйста

Приложения:

Ответы

Ответ дал: KseniaHarlequin
0
Решение данного задания
Приложения:
Вас заинтересует