Ответы
Ответ дал:
0
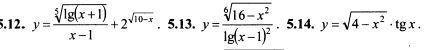
5.12
{x+1>0⇒x>-1
{x-1≠0⇒x≠1
{10-x≥0⇒x≤10
x∈(-1;1) U (1;10]
5.13
{(4-x)(4+x)≥0⇒-4≤x≤4
{x-1≠0⇒x≠1
{lg(x-1)²≠0⇒(x-1)²≠1⇒x-1≠-1 U x-1≠1⇒x≠0 U x≠2
x∈[-4;0) U (0;1) U (1;2) U (2;4]
5,14
{(2-x)(2+x)≥0⇒-2≤x≤2
{-π/2+πn<x<π/2+πn,n∈z
x∈[-2;-π/2) (-π/2;π/2) U (π/2;2]
{x+1>0⇒x>-1
{x-1≠0⇒x≠1
{10-x≥0⇒x≤10
x∈(-1;1) U (1;10]
5.13
{(4-x)(4+x)≥0⇒-4≤x≤4
{x-1≠0⇒x≠1
{lg(x-1)²≠0⇒(x-1)²≠1⇒x-1≠-1 U x-1≠1⇒x≠0 U x≠2
x∈[-4;0) U (0;1) U (1;2) U (2;4]
5,14
{(2-x)(2+x)≥0⇒-2≤x≤2
{-π/2+πn<x<π/2+πn,n∈z
x∈[-2;-π/2) (-π/2;π/2) U (π/2;2]
Вас заинтересует
3 года назад
3 года назад
7 лет назад
7 лет назад
10 лет назад
10 лет назад