• Предмет: Алгебра
  • Автор: иман65
  • Вопрос задан 9 лет назад

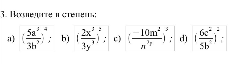
пожалуйста помогите мне я вас очень прошу

Приложения:

Ответы

Ответ дал: гюйс
0
а) ………=(625а^12)/(81в^8)

b) ………=(32x^15)/(243y^15)

c) ………=(36c^4)/(25b^4)
Ответ дал: гюйс
0
а, третье не написал. последний -- это d)
Ответ дал: гюйс
0
Я примеры не переписывал, это уже решение.
Вас заинтересует