• Предмет: Алгебра
  • Автор: student3222
  • Вопрос задан 9 лет назад

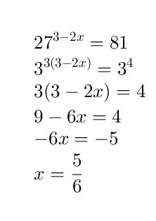
помогите решить уравнение
27 в степени 3-2х = 81

Ответы

Ответ дал: faustoleg99
0
Решение представлено  на картинке
Приложения:
Вас заинтересует