Ответы
Ответ дал:
0
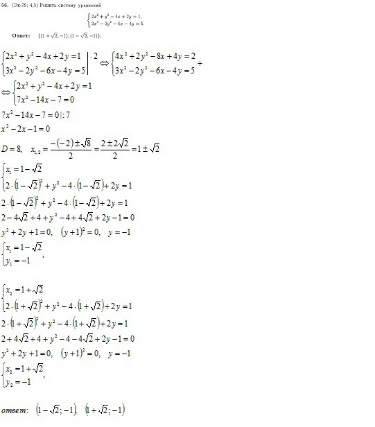
решение во вложении-----------------------
Приложения:

Вас заинтересует
7 лет назад
9 лет назад
9 лет назад