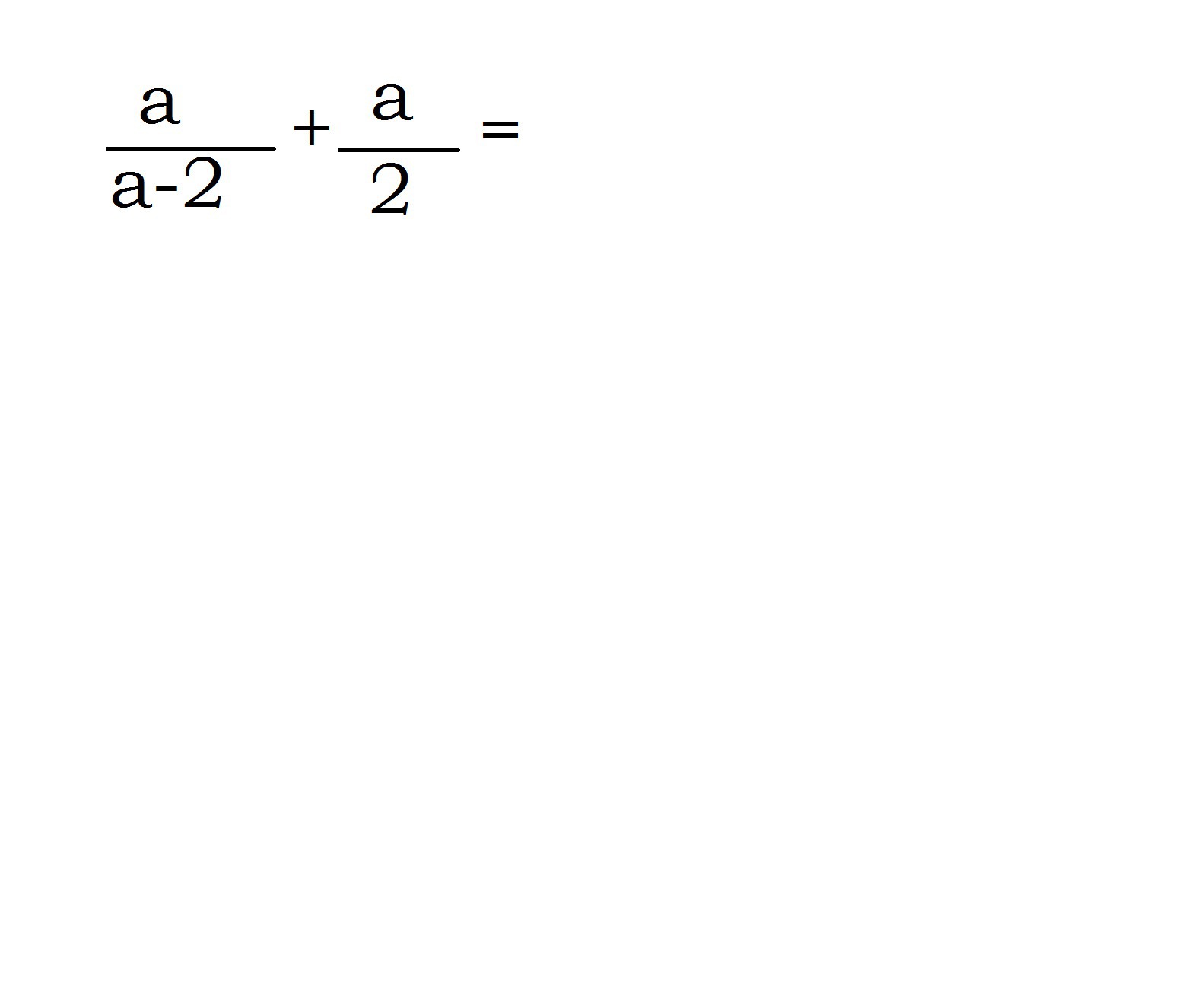
Помогите найти ОБЩИЙ ЗНАМЕНАТЕЛЬ ДЛЯ ДРОБИ и Решить пример, КАРТИНКА НИЖЕ(тема преобразование рациональных дробей) В7
Приложения:


Ответа на этот вопрос пока нет. Попробуйте найти его через форму поиска.
Вас заинтересует
2 года назад
7 лет назад
7 лет назад
9 лет назад
10 лет назад