Ответы
Ответ дал:
0
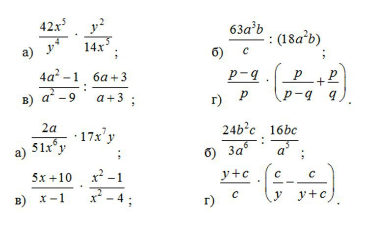
a)=6/2y²
b)=63a³b×1 черта дроби c18a²b=21a/6c
B)=(2a-1)(2a+1)(a+3)черта дроби(a+3)(a-3)3(2a+1)=2a-1/a-3
b)=63a³b×1 черта дроби c18a²b=21a/6c
B)=(2a-1)(2a+1)(a+3)черта дроби(a+3)(a-3)3(2a+1)=2a-1/a-3
Вас заинтересует
3 года назад
7 лет назад
7 лет назад
10 лет назад
10 лет назад