Система 5 (2х-1)-3(4у-3)=6
0,3+0,2у=2,3
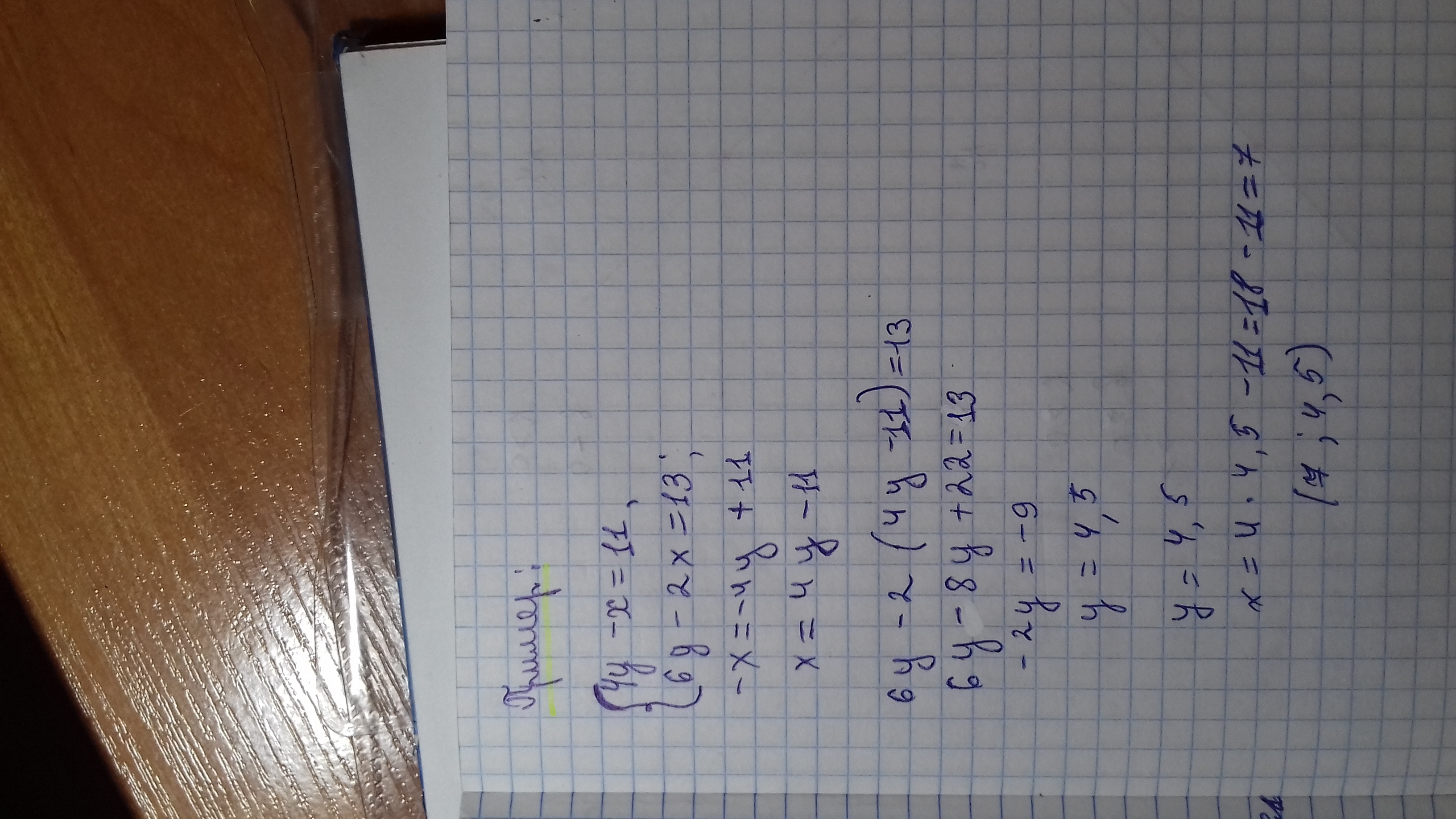
Решить способом подстановки,как на картинке)Огромное спасибо
Приложения:

Ответы
Ответ дал:
0
просто вырази у. А потом подставь в первое.
Приложения:

Ответ дал:
0
Мне нужно решить так же как на примере.но всё равно большое спасибо
Вас заинтересует
2 года назад
2 года назад
7 лет назад
9 лет назад
9 лет назад
10 лет назад
10 лет назад