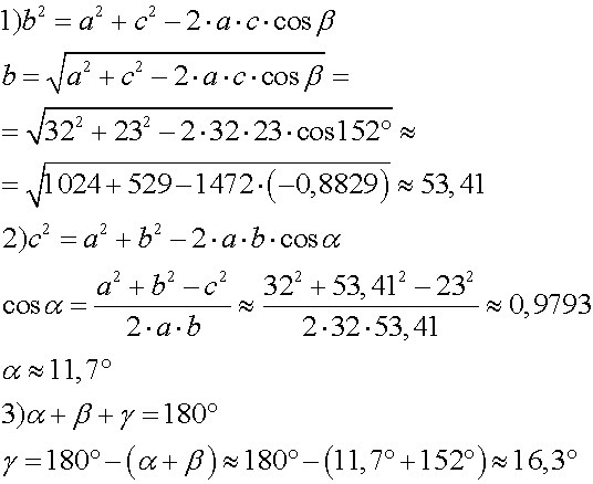
СРОЧНО ПОЖАЛУЙСТА ЛЮДПомогите решить задачу по геометрии 9 класс.(на украинском языке)Дано:трикутник абс. а=32, с=23 кут бета= 152 градуси.Треба знайти сторону б,кут альфа та гама
Ответы
Ответ дал:
0
Найдено в интернете. Надеюсь,что помогла)
Приложения:

Вас заинтересует
7 лет назад
9 лет назад
9 лет назад
10 лет назад