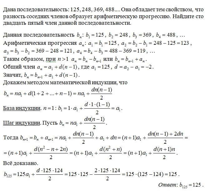
дана последовательность 125 248 369 488.... Она обладает тем свойством что разность соседних членов образует арифметическую прогрессию. Найдите сто двадцать пятый член данной последовательнности
Ответы
Ответ дал:
2
Решение в приложении.
Приложения:

Вас заинтересует
2 года назад
2 года назад
2 года назад
7 лет назад
9 лет назад
9 лет назад