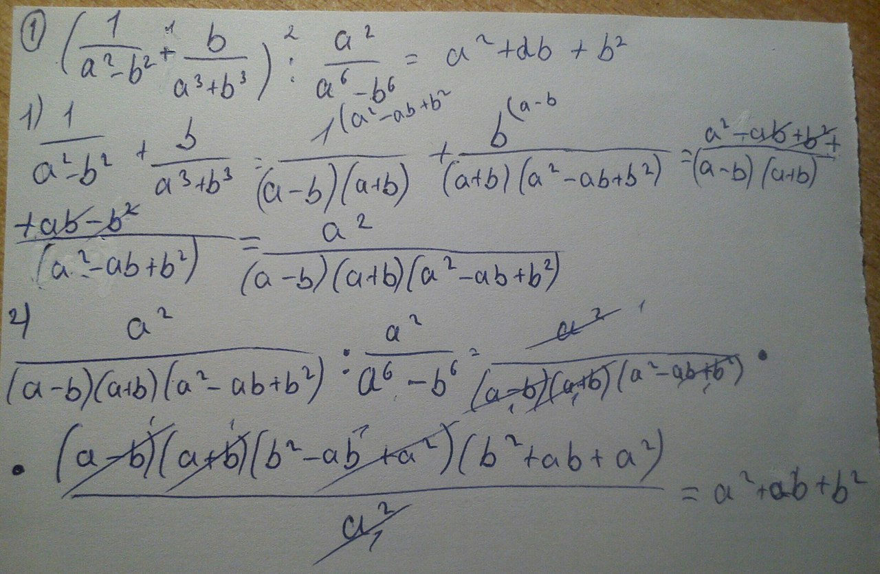
Выполнить действия: №18 под цифрой 1). Ребята, помогите пожалуйста, желательно с решением, помогите, прошу
Приложения:
Ответы
Ответ дал:
0
Я думаю, что так.Надеюсь, что помогла:з
Приложения:
Ответ дал:
0
Спасиибо большое что помогла)))))
Вас заинтересует
3 года назад
3 года назад
7 лет назад
7 лет назад
10 лет назад
10 лет назад
10 лет назад