• Предмет: Алгебра
  • Автор: DF1212
  • Вопрос задан 9 лет назад

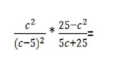
Решить пж оч надо сейчас

Приложения:

Ответы

Ответ дал: Блондинка2000
0
Отметь, как лучший, плиз))) очень старалась 
Приложения:
Вас заинтересует