Ответы
                                            Ответ дал: 
                                                                                    
                                        
                                            
                                                
                                                
                                                
                                                    0
                                                
                                            
                                        
                                    
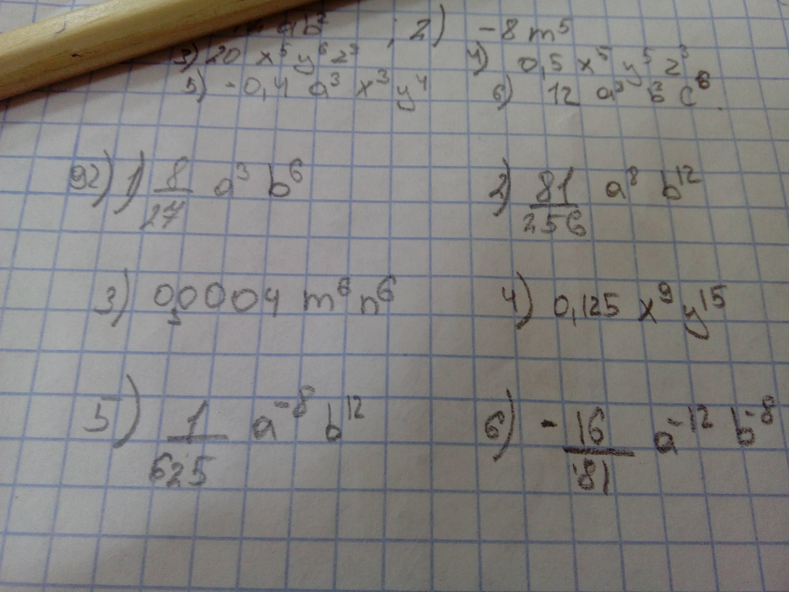
                                        91) 1.-12ab2
2.-8m5
3.20x5y6z3
4.0,5x5y5z3
5.-0,4a3x3y4
6.12a8b3c6
                                                2.-8m5
3.20x5y6z3
4.0,5x5y5z3
5.-0,4a3x3y4
6.12a8b3c6
Приложения:
                    
                            Вас заинтересует
                
                        2 года назад
                    
                
                        2 года назад
                    
                
                        7 лет назад
                    
                
                        7 лет назад
                    
                
                        9 лет назад
                    
                
                        10 лет назад