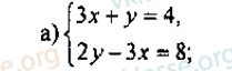
решите систему уравнений методом сложения все подробно распишите.пожалуйста очень очень срочно
Приложения:

Ответы
Ответ дал:
0
складываем иксы с иксами и игреки с игреками, получим +3х и -3х взимоуничтожаются, остается 3у=12
у=12:3
у=4
теперь чтобы найти х надо подставить у в одно из уравнений
3х+4=4
3х=0
х=0
у=12:3
у=4
теперь чтобы найти х надо подставить у в одно из уравнений
3х+4=4
3х=0
х=0
Вас заинтересует
2 года назад
7 лет назад
9 лет назад
9 лет назад
10 лет назад