Ответы
Ответ дал:
0
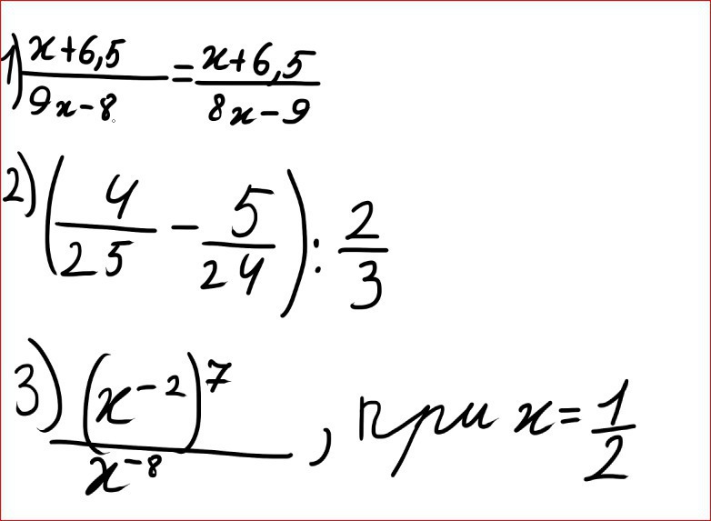
1)9х-8-8х+9=0
х+1=0
x=-1
2)(4*24-5*25)/600 :2/3=-29/600*3/2=29/40
3)х^-14/х^-8=х^-6=64
х+1=0
x=-1
2)(4*24-5*25)/600 :2/3=-29/600*3/2=29/40
3)х^-14/х^-8=х^-6=64
Вас заинтересует
3 года назад
3 года назад
7 лет назад
7 лет назад
10 лет назад
10 лет назад