• Предмет: Математика
  • Автор: hahdghn
  • Вопрос задан 9 лет назад

35баллов помогите пожалуйста!!!!!!!!!!

Приложения:

Ответы

Ответ дал: TOTTI0o0
0
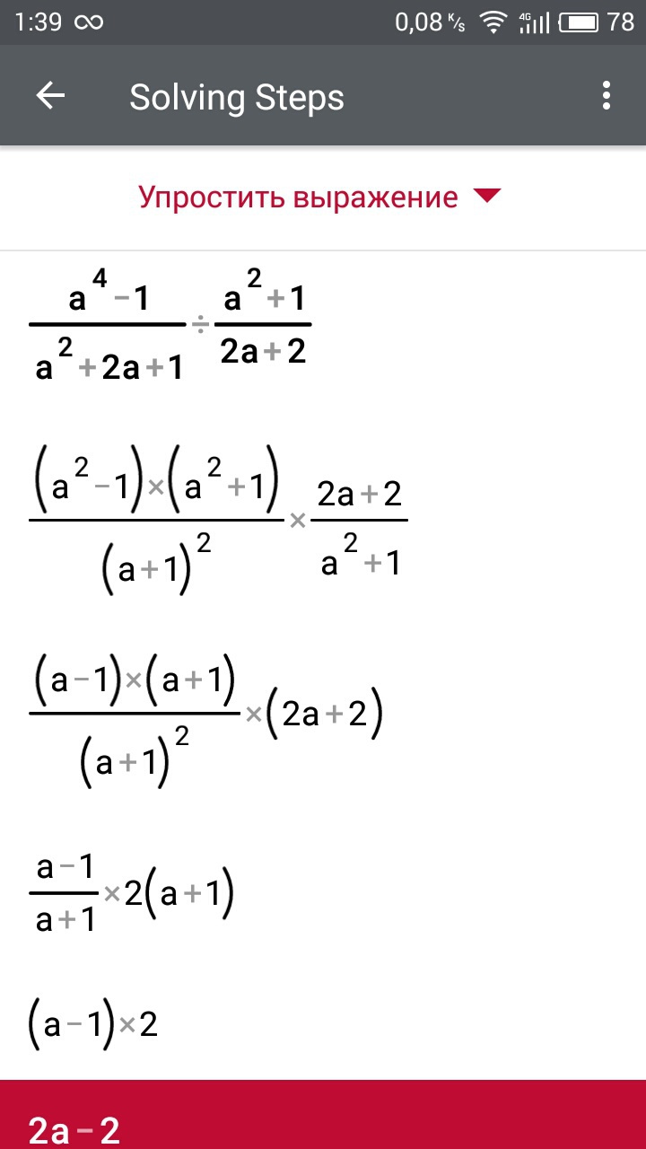
Сделал через программу.Чтоб понятнее
Приложения:
Вас заинтересует