Ответы
Ответ дал:
0
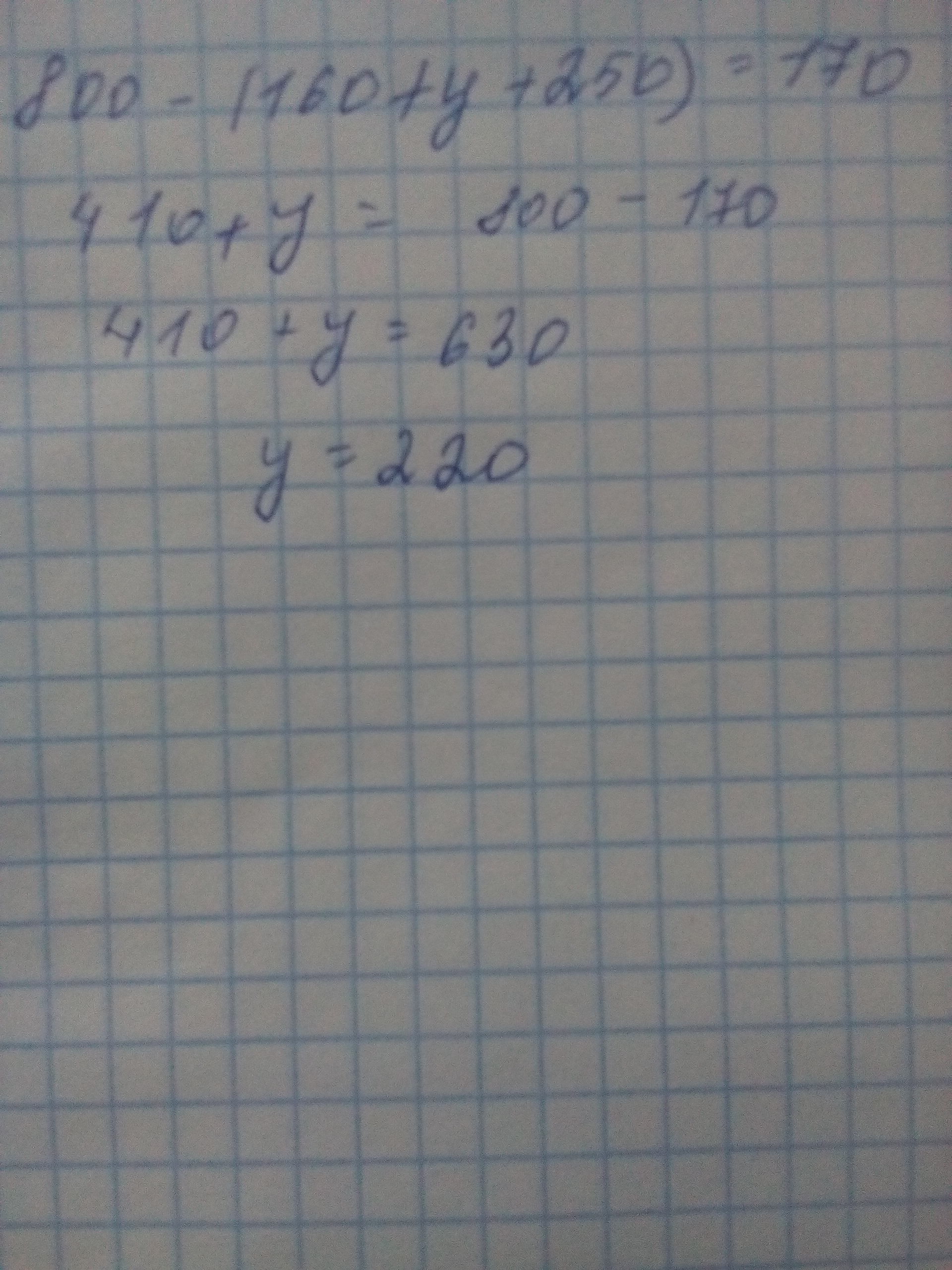
800-160-y-250=170
-y=170+160+250-800
-y=-220
y=220
Ответ:220
-y=170+160+250-800
-y=-220
y=220
Ответ:220
Ответ дал:
0
Ответ на фотоооо)
если неверно,сорЯяяян)
если неверно,сорЯяяян)
Приложения:
Вас заинтересует
3 года назад
3 года назад
7 лет назад
7 лет назад
10 лет назад
10 лет назад