• Предмет: Алгебра
  • Автор: gyrtihvdkdfds
  • Вопрос задан 9 лет назад

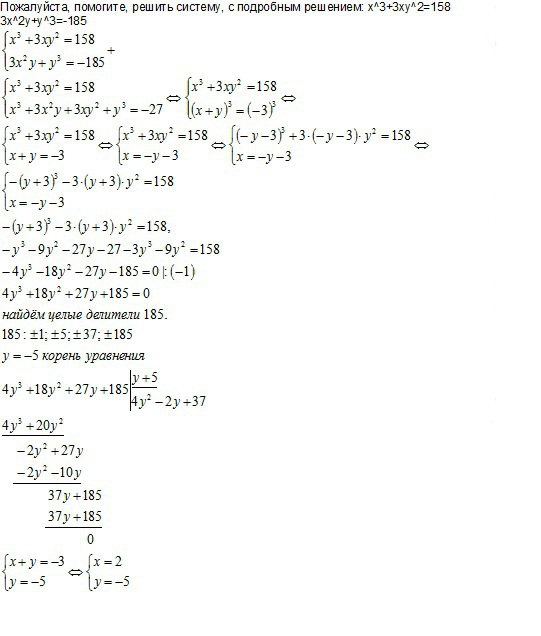
Пожалуйста, помогите, решить систему, с подробным решением: x^3+3xy^2=158 3x^2y+y^3=-185

Ответы

Ответ дал: kirichekov
0
решение во вложении----------------
Приложения:
Вас заинтересует