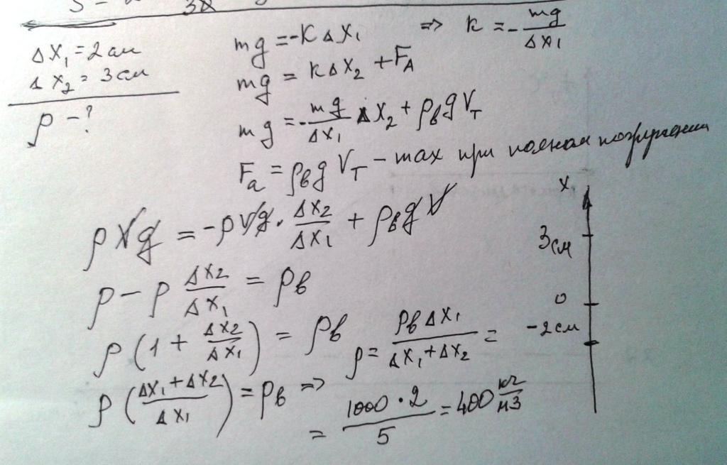
Тело внутри сосуда удерживается в равновесии пружинами, величина деформации которых составляет 2 см. В сосуд начинают наливать воду, и наливают ее до тех пор, пока длина пружин не перестает меняться. Чему равна плотность материала этого тела, если величина деформации пружин в конечном итоге составила 3 см?
Приложения:

Ответы
Ответ дал:
0
Решение смотрите на фотографии
Приложения:

Ответ дал:
0
О спасибо
Вас заинтересует
2 года назад
7 лет назад
7 лет назад
9 лет назад