• Предмет: Математика
  • Автор: Vesssna1
  • Вопрос задан 9 лет назад

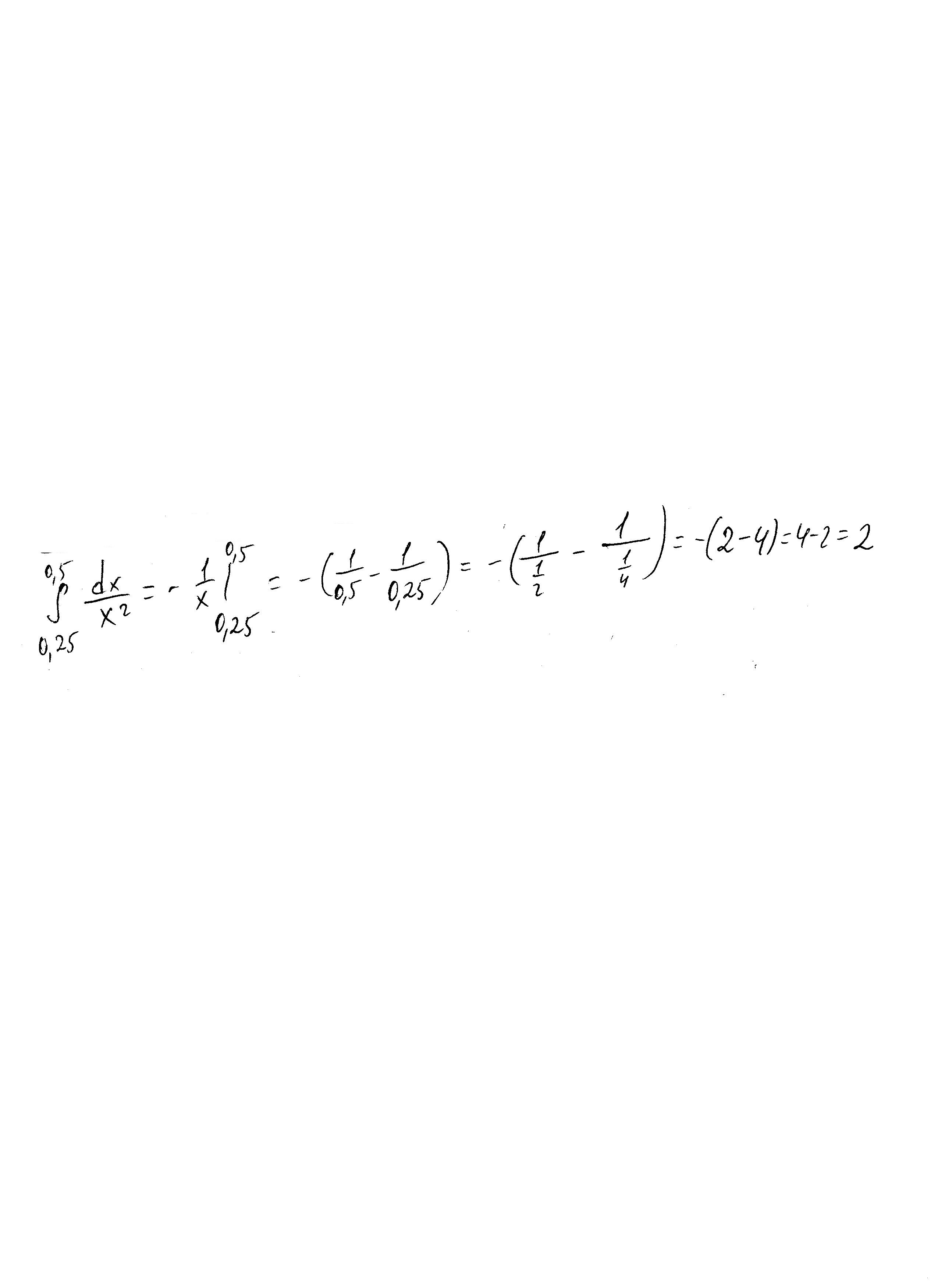
найти интеграл dx/x^2 от 0.25 до 0.5
пожалуйстаа

Ответы

Ответ дал: bearcab
0
Решение в приложении.
Приложения:
Вас заинтересует