• Предмет: Математика
  • Автор: Фрэнки56
  • Вопрос задан 9 лет назад

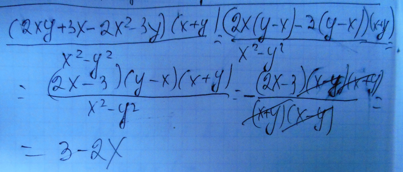
Упростить:
(2xy + 3x - 2x² - 3y) (x + y) // (x² - y²)
// - черта дроби

Ответы

Ответ дал: miron2077
0
 ручка паршивая, все время размазывается
Приложения:
Ответ дал: Фрэнки56
0
спасибо большое)
Ответ дал: miron2077
0
пожалуйста
Вас заинтересует