Ответы
Ответ дал:
0
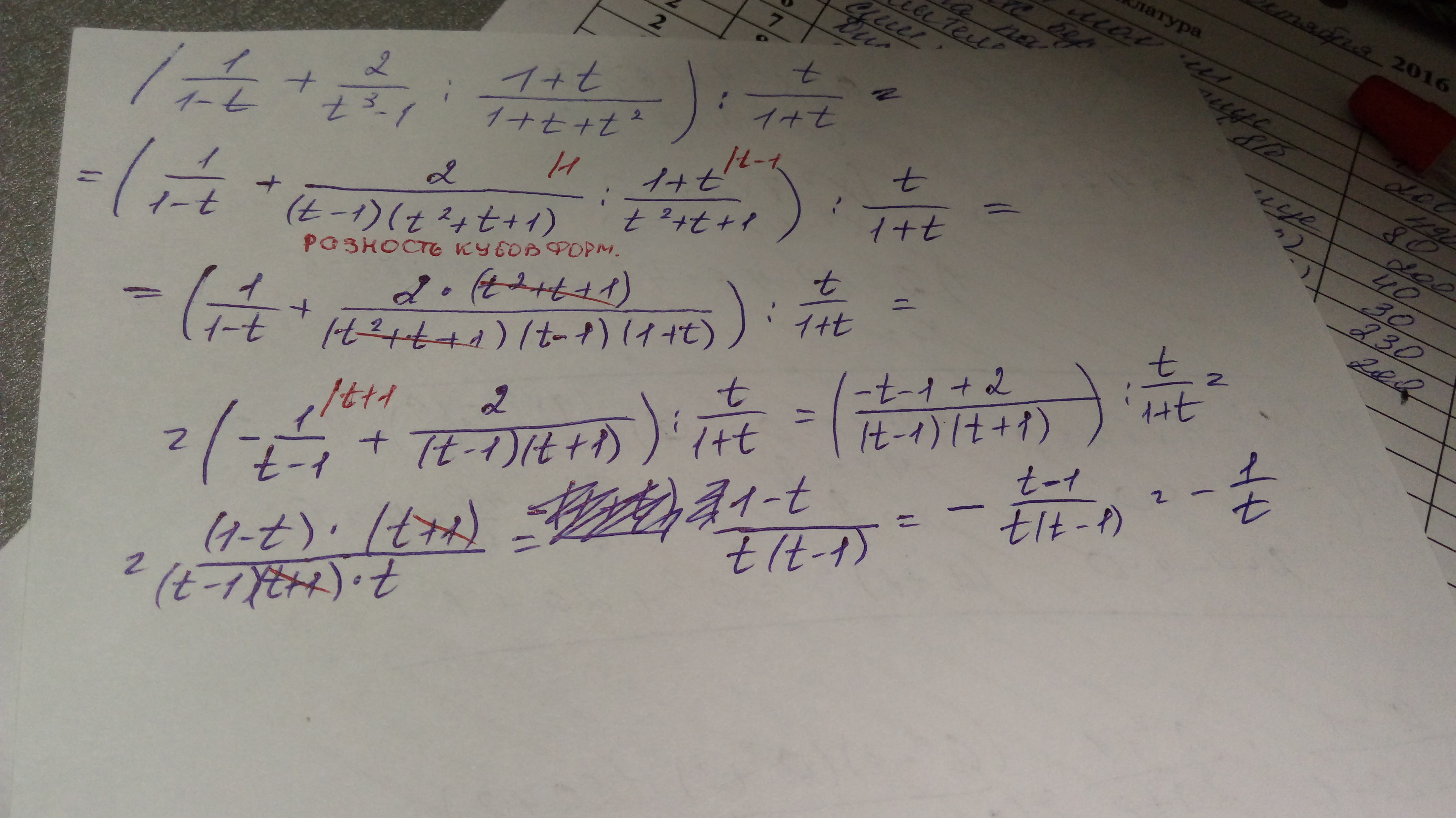
решение смотри на фотографии
Приложения:

Ответ дал:
0
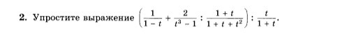
решение полностью описано на фото. Вроде как-то так...
Приложения:

Вас заинтересует
2 года назад
7 лет назад
7 лет назад
9 лет назад