Ответы
Ответ дал:
0
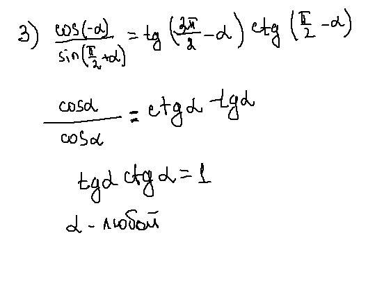
3) решается при помощи формул приведения
получаем тождественно истинное выражение для любого альфа
получаем тождественно истинное выражение для любого альфа
Приложения:

Вас заинтересует
2 года назад
2 года назад
7 лет назад
9 лет назад