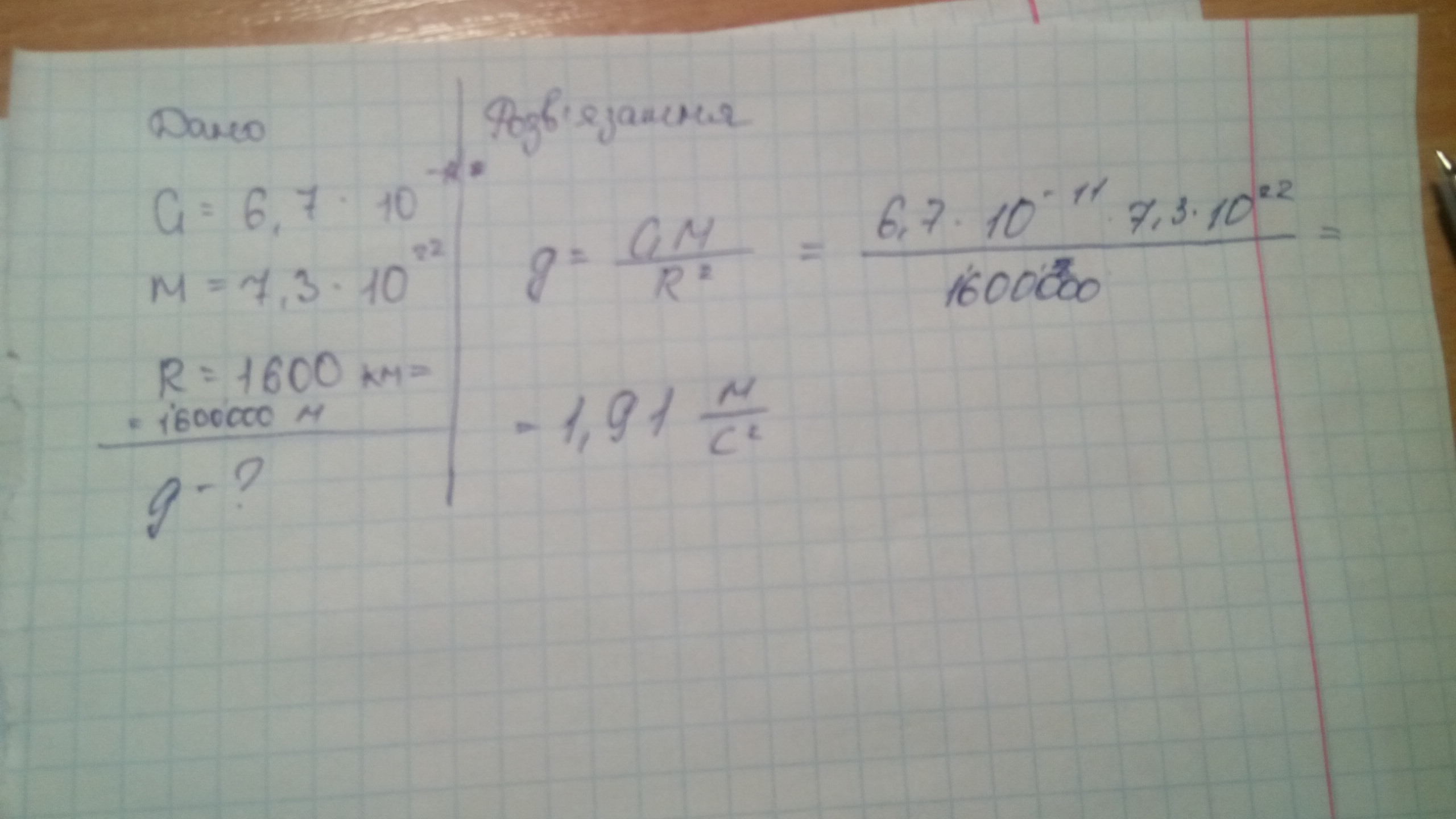
определить с каким ускорением падают тела на поверхность луны, если Мм = 7.3×10²²кг, R = 1600 км
Ответы
Ответ дал:
0
______________________________________
Приложения:

Вас заинтересует
2 года назад
2 года назад
7 лет назад
9 лет назад
9 лет назад
10 лет назад
10 лет назад