Ответы
Ответ дал:
0
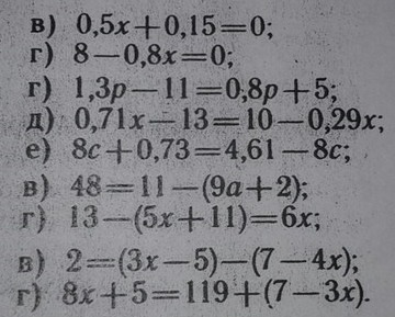
в) 0,5х+0,15=0
0,5х= -0,15
х= -0,15:0,5
х= -0,3
г) 8-0,8х=0
-0,8х= -8
х= -8:(-0,8)
х=10
г) 1,3р-11=0,8р+5
1,3р-0,8р=5+11
0,5р=16
р=16:0,5
р=32
д) 0,71х-13=10-0,29х
0,71х+0,29х=10+13
х=23
е) 8с+0,73=4,61-8с
8с+8с=4,61-0,73
16с=3,88
с=3,88:16
с=0,2425
в) 48=11-(9а+2)
48=11-9а-2
9а=11-2-48
9а= - 39
а= - 4 1/3
г) 13-(5х+11)=6х
13-5х-11=6х
-5х-6х=11-13
-11х= -2
х=2/11
в) 2=(3х-5)-(7-4х)
2=3х-5-7+4х
2=7х-12
-7х= -12-2
-7х= -14
х=2
г) 8х+5=119+(7-3х)
8х+5=119+7-3х
8х+3х=119+7-5
11х=121
х=11
0,5х= -0,15
х= -0,15:0,5
х= -0,3
г) 8-0,8х=0
-0,8х= -8
х= -8:(-0,8)
х=10
г) 1,3р-11=0,8р+5
1,3р-0,8р=5+11
0,5р=16
р=16:0,5
р=32
д) 0,71х-13=10-0,29х
0,71х+0,29х=10+13
х=23
е) 8с+0,73=4,61-8с
8с+8с=4,61-0,73
16с=3,88
с=3,88:16
с=0,2425
в) 48=11-(9а+2)
48=11-9а-2
9а=11-2-48
9а= - 39
а= - 4 1/3
г) 13-(5х+11)=6х
13-5х-11=6х
-5х-6х=11-13
-11х= -2
х=2/11
в) 2=(3х-5)-(7-4х)
2=3х-5-7+4х
2=7х-12
-7х= -12-2
-7х= -14
х=2
г) 8х+5=119+(7-3х)
8х+5=119+7-3х
8х+3х=119+7-5
11х=121
х=11
Вас заинтересует
2 года назад
7 лет назад
7 лет назад
10 лет назад
10 лет назад
10 лет назад