• Предмет: Математика
  • Автор: динчик6
  • Вопрос задан 9 лет назад

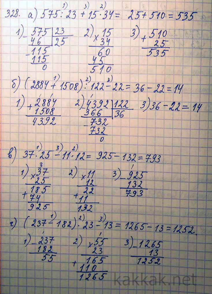
найдите значение выражения а) 575:23+15*34 б)(2884+1508):122-22 в)37*25-11*12 г)(237-182)*23-13

Ответы

Ответ дал: romanskosenko
0
Я решил надеюсь правильно
Приложения:
Ответ дал: friskchara
0
а)535,б)14,в)793,г)1252
Приложения:
Вас заинтересует