• Предмет: Математика
  • Автор: AlisaStark110
  • Вопрос задан 9 лет назад

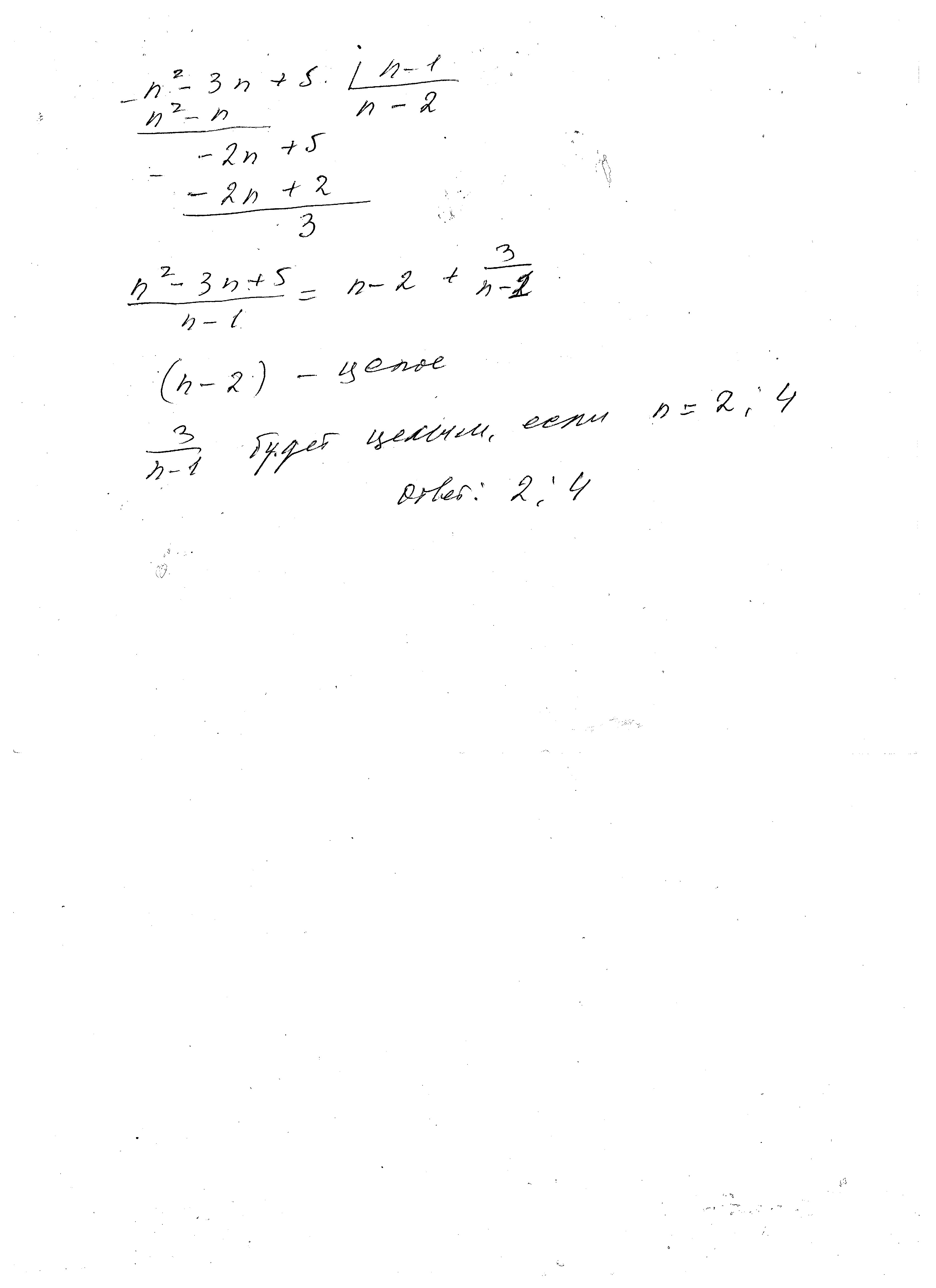
Определите, при каких натуральных значениях n данное выражение являются целыми чиcлами n^2-3n+5/n-1         /-дробь

Ответы

Ответ дал: natali15medved
0
решение - в приложении
Приложения:
Вас заинтересует