• Предмет: Алгебра
  • Автор: ElenaKolody
  • Вопрос задан 9 лет назад

решитее , нигде немогу найти уже ответ

Приложения:

Ответы

Ответ дал: Miraslava1816
0
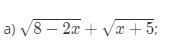
(√8-2х)²+(√х+5)²=0
8-2х+х+5=0
-2х+х=-8-5
-х=-13
х=-13:(-1)
х=13
Ответ дал: ElenaKolody
0
в ответе должно получится множество
Вас заинтересует