УМОЛЯЮ! Помогите!! Не знаю как решить!!!
Отдаю последние баллы ((((
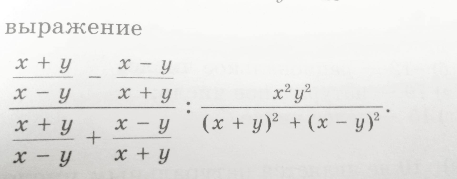
Упростите выражение
Приложения:

Ответы
Ответ дал:
0
решение
4yx / x^2 - y^2 / 4yx / x^2 - y ^2/ x^2y^2/ 2x^2 + 2y^2 = x^2y^2/(x+y)^2 + ( x-y)^2
4yx / x^2 - y^2 / 4yx / x^2 - y ^2/ x^2y^2/ 2x^2 + 2y^2 = x^2y^2/(x+y)^2 + ( x-y)^2
Вас заинтересует
2 года назад
2 года назад
7 лет назад
7 лет назад
9 лет назад
10 лет назад
10 лет назад